Part II: Two-dimensional systems: flows in the plane - Chapter 4

Linearization: what happens near fixed points

All the versions of this article: [English] [Español] [français]

In this chapter we develop an natural idea: we should be able to approximate the phase portrait near an fixed point by that of a corresponding linear system. We shall see what this means and when this is possible.

Linearized system

Consider the system

$$ \begin{cases} \dot{x}=f(x,y)\\ \dot{y}=g(x,y) \end{cases} $$

and suppose that $(\bar x,\bar y)$ is a fixed point, i.e.,

$$ f(\bar x,\bar y)=0,\thinspace g(\bar x,\bar y)=0. $$

Let

$$ u=x-\bar x, \thinspace v=y-\bar y $$

denote the components of a small disturbance from the fixed point. We want to see whether the disturbance is amplified or damped, and so we derive the equations for $u$ and $v$. Let us do it for $u$:

$$ \begin{aligned} \dot{u} & = \dot{x}\\ & = f(\bar x+u,\bar y +v)\\ &= f(\bar x,\bar y) + u\ \frac{\partial f}{\partial x}(\bar x,\bar y)+ v\ \frac{\partial f}{\partial y}(\bar x,\bar y)+ O(u^2,v^2,uv)\\ &= u\ \frac{\partial f}{\partial x}(\bar x,\bar y)+ v\ \frac{\partial f}{\partial y}(\bar x,\bar y)+ O(u^2,v^2,uv). \end{aligned} $$

Let us comment on these identities. The first equality holds because $\bar{x}$ is a constant. The second one is obvious. The third one is Taylor’s expansion. The last one holds because $f(\bar{x},\bar{y})=0$. The shorthand notation $O(u^2,v^2,uv)$ denotes the quadratic terms in $u$ and $v$. Since we take $u$ and $v$ small, these quadratic terms are very small. Similarly we find

$$ \dot{v}= u\ \frac{\partial g}{\partial x}(\bar x,\bar y)+ v\ \frac{\partial g}{\partial y}(\bar x,\bar y)+O(u^2,v^2,uv). $$

Hence the disturbance $(u,v)$ evolves according to

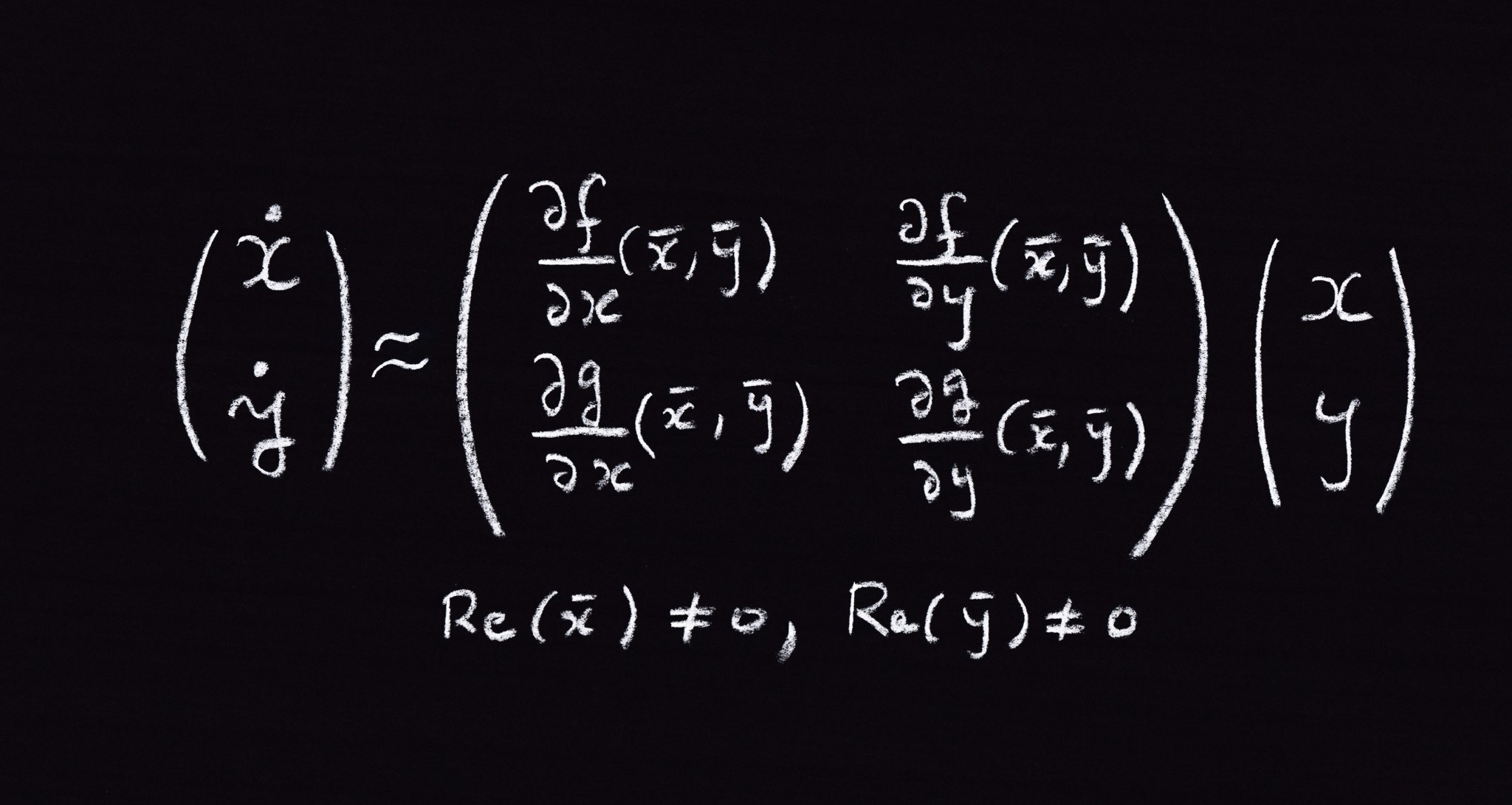
$$ \begin{pmatrix} \dot{u}\\ \dot{v} \end{pmatrix} = \begin{pmatrix} \frac{\partial f}{\partial x}\scriptstyle{(\bar x,\bar y)} & \frac{\partial f}{\partial y}\scriptstyle{(\bar x,\bar y)}\\ \frac{\partial g}{\partial x}\scriptstyle{(\bar x,\bar y)} & \frac{\partial g}{\partial x}\scriptstyle{(\bar x,\bar y)} \end{pmatrix} \begin{pmatrix} u\\ v \end{pmatrix} + \thinspace\text{quadratic terms}. $$

The matrix

$$ A= \begin{pmatrix} \frac{\partial f}{\partial x}\scriptstyle{(\bar x,\bar y)} & \frac{\partial f}{\partial y}\scriptstyle{(\bar x,\bar y)}\\ \frac{\partial g}{\partial x}\scriptstyle{(\bar x,\bar y)} & \frac{\partial g}{\partial x}\scriptstyle{(\bar x,\bar y)} \end{pmatrix} $$

is called the Jacobian matrix at the fixed point $(\bar x,\bar y)$. Now we can define the linearized system associated to our original system:

$$ \begin{pmatrix} \dot{u}\\ \dot{v} \end{pmatrix} = A \begin{pmatrix} u\\ v \end{pmatrix}. $$

Observe that in the coordinates $(u,v)$, the fixed point $(\bar x,\bar y)$ becomes the origin. Now the obvious question is:
Does the linearized system give a qualitatively correct picture of the phase portrait near $(\bar x,\bar y)$ ?
The answer is yes, as long as the origin for the linearized system is either a saddle, a sink, or a source, that is, not one of the borderline cases we saw in the classification of phase portraits of linear systems. We shall give a more precise formulation of this statement, right after a few examples that show what can be the effect of small nonlinear terms.

When small nonlinear terms matter

Consider the system

$$ \begin{cases} \dot{x} = -y +\epsilon x(x^2+y^2)\\ \dot{y}= x + \epsilon y(x^2+y^2) \end{cases} $$

where $\epsilon$ is a parameter. The following digital experiment shows that, when $\epsilon=0$, the origin is a center. But, as soon as $\epsilon\neq 0$, as tiny as it may be, this center is destroyed: when $\epsilon<0$, the origin is a spiral sink, and, when $\epsilon>0$, it is a spiral source.


We can easily understand what’s going on. Let us look at its linearized version about the (unique) fixed point $(0,0)$. To obtain it, we can either compute the Jacobian matrix directly, or we realize that we can get it by simply omitting nonlinear terms in $x$ and $y$. Thus the linearized system is

$$ \begin{cases} \dot{x} = -y \\ \dot{y}= x \end{cases} $$

hence the Jacobian matrix at $(0,0)$ is

$$ A= \begin{pmatrix} 0 & -1 \\ 1 & 0 \end{pmatrix}. $$

Since $\text{tr}(A)=0$, $\text{det}(A)=1>0$, the origin is always a center, according to the linearization.

To analyze the true system, let us change variables to polar coordinates. Let $x= r \cos\theta$ and $y=r\sin\theta$. We arrive at the system

$$ \begin{cases} \dot r= \epsilon r^3\\ \dot\theta= 1. \end{cases} $$


To derive a differential equation for $r$, note that $x^2+y^2=r^2$, so $x\dot{x}+y\dot{y}=r\dot{r}$. Substituting for $\dot x$ and $\dot y$ yields

$$ \begin{aligned} r\dot r & = x\big(-y+\epsilon x(x^2+y^2)\big)+y\big(x+\epsilon y(x^2+y^2)\big)\\ & = \epsilon (x^2+y^2)^2\\ &= \epsilon r^4. \end{aligned} $$

Hence $\dot r= \epsilon r^3$. Now we use that $\tan \theta=y/x$, i.e., $\theta=\arctan (y/x)$. Hence

$$ \begin{aligned} \dot \theta & = \frac{\frac{\text{d}}{\text{d}t}\left(\frac{y}{x}\right)}{1+\left(\frac{y}{x}\right)^2}\\ & = \frac{\frac{x\dot{y}-y\dot{x}}{x^2}}{1+\left(\frac{y}{x}\right)^2}\\ &= \frac{x\dot y - y \dot x}{r^2}. \end{aligned} $$

After substituting for $\dot x$ and $\dot y$ we find $\dot\theta =1$.

The system is easy to analyze in this form because the radial and angular motions are decoupled. All solutions rotate about the origin with constant angular velocity. If $\epsilon<0$, then $r(t)$ goes to $0$ monotonically as $t\to+\infty$. If $\epsilon=0$, then $r(t)=r_0$ for all $t$, where $r_0$ is the initial radius. Finally, if $\epsilon>0$, then $r(t)\to+\infty$ monotonically as $t\to+\infty$. This example shows why in general centers are so delicate: all solutions have to come back to their starting point perfectly after a certain period of time. The slightest miss converts the center into a spiral.

We now turn to an example whose linearized system has a zero eigenvalue. Consider the system

$$ \begin{cases} \dot{x} = \epsilon x^2\\ \dot{y}= -y \end{cases} $$

where $\epsilon\geq 0$. The only fixed point is of course the origin.


As we see, the behavior is completely different if $\epsilon=0$ or if $\epsilon>0$, as tiny as it may be. Again, we can get the linearized system by simply dropping the nonlinear terms in $x$ and $y$, or, equivalently, by setting $\epsilon=0$. We thus get the linear system

$$ \begin{cases} \dot{x} = 0\\ \dot{y}= -y \end{cases} $$


which means that

$$ A= \begin{pmatrix} 0 & 0 \\ 0 & -1 \end{pmatrix}. $$

For this linear system, all points on the $x$-axis are fixed points, and all other solutions lie on vertical lines $x=\text{constant}$. In conclusion, the linearized system gives a completely wrong picture of trajectories about the origin!

Hartman-Grobman theorem

We now answer the above question about when the linearized system faithfully captures the behavior of the original system near a fixed point. As the previous examples show, there must be a condition on the Jacobian matrix. The answer turns out to be neat and simple: the real part of the eigenvalues of the Jacobian matrix must be nonzero, that is, the eigenvalues lie off the imaginary axis.

Hartman-Grobman Theorem. Suppose $(\bar x,\bar y)$ is a fixed point of a system

$$ \begin{cases} \dot{x} = f(x,y)\\ \dot{y}= g(x,y). \end{cases} $$

Assume that the real part of the eigenvalues of the Jacobian matrix

$$ A= \begin{pmatrix} \frac{\partial f}{\partial x}\scriptstyle{(\bar x,\bar y)} & \frac{\partial f}{\partial y}\scriptstyle{(\bar x,\bar y)}\\ \frac{\partial g}{\partial x}\scriptstyle{(\bar x,\bar y)} & \frac{\partial g}{\partial x}\scriptstyle{(\bar x,\bar y)} \end{pmatrix} $$

are nonzero. Then there is a small region around $(\bar x,\bar y)$ on which the phase portrait for the original system is topologically equivalent to the phase portrait of the linearized system in a small region around $(0,0)$.

Topologically equivalent means that there is a homeomorphism (that is, a continuous map with a continuous inverse) that maps a small neighborhood of $(\bar x,\bar y)$ to a small neighborhood of $(0,0)$, in such a way that trajectories map onto trajectories and the sense of time is preserved. Intuitively, two phase portraits are topologically equivalent if one is a distorted version of the other. Bending is allowed but not ripping. Hence, for instance, a closed trajectory must remain closed, or trajectories connecting saddles must not be broken, etc.

Hartman-Grobman theorem allows us to analyse the local behavior of a fixed point when the associated Jacobian matrix has eigenvalues with nonzero real part. If, for instance, one finds that the origin is a source for the linearized system, then the fixed point of the original system is also a source, and, near it, trajectories look the same; for instance, if we have a spiral sink in the linearized system, we do have locally a spiral sink in the original one. And so forth for other fixed points having the wanted property.

Hartman-Grobman theorem has a rather intuitive meaning, but it is far from being easy to prove. On the positive side, it has the advantage of being true in higher dimension: if we consider a system $\dot{\boldsymbol{x}}=\boldsymbol{f}(\boldsymbol{x})$ where $\boldsymbol{x}\in\mathbb{R}^n$ and $\boldsymbol{f}:\mathbb{R}^n\to\mathbb{R}^n$, then we get the same conclusion as when $n=2$, provided that all the eigenvalues of the linearized system lie off the imaginary axis. On the negative side, the theorem states the existence of a homeomorphism, but it is very seldom that we can write it down explicitly. But, as far as we are concerned with qualitative aspects of the behavior of solutions near a fixed point, this is not a serious drawback.

Two illustrative examples

Consider the system

$$ \begin{cases} \dot{x}= x+y^2\\ \dot{y}= -y. \end{cases} $$

There is a single fixed point at the origin. The linearized system is obtained simply by dropping the nonlinear term
$x^2$:

$$ \begin{cases} \dot{x}= x\\ \dot{y}= -y. \end{cases} $$

This system can be solved immediately since we have uncoupled equations, or we can directly check, based on our previous work, that the origin is a saddle: the $x$-axis is the stable manifold and the $y$-axis the unstable one. According to Hartman-Grobman theorem, these two systems are locally topologically equivalent. The following digital experiment illustrates how they are related.


We observe that the $x$-axis is also the stable manifold for the origin in the original system. However, the $y$-axis is no longer home to a solution that tends to the origin. Indeed, the vector field along the $y$-axis is given by $(y^2,-y)$, which is not tangent to the axis. In other words, the $y$-axis is not the stable manifold of the origin in the original system, but we see that there is a curve through the origin on which solutions tend to $(0,0)$ (note that it is tangent to the $y$-axis). The original phase portrait is, as Hartman-Grobman theorem predicts, a continuous deformation of the phase portrait of its linearized version. The digital experiment moreover suggests that we can convert the original system into its linear version everywhere in the phase plane!

In general, it is impossible to convert a nonlinear system to a linear one. Here this is possible because we can find an explicit change of coordinates to pass from the original system to its linearized version:

$$ (x,y)\mapsto (x+\frac{1}{3}y^2,y). $$


To pass from the linearized to the original one we use the inverse transformation

$$ (x,y)\mapsto (x-\frac{1}{3}y^2,y). $$


Using standard techniques of differential equations, one can find the general solution of the nonlinear differential equation:

$$ \begin{cases} x(t)= \left( x_0+\frac{1}{3}y_0^2\right) e^t - \frac{1}{3} y_0^2 e^{-2t}\\ y(t)=y_0 e^{-t}. \end{cases} $$

If $y_0=0$, we find the solution $x(t)=x_0 e^t$, $y(t)=0$, just as in the linear case. Now consider the curve
$x+\frac{1}{3} y^2=0$ in $\mathbb{R}^2$. Suppose that $(x_0,y_0)$ lies on this curve, and let $(x(t),y(t))$
be the solution satisfying this initial condition. Since $x_0+\frac{1}{3} y_0^2=0$, this solution becomes

$$ \begin{cases} x(t)= - \frac{1}{3} y_0^2 \thinspace e^{-2t}\\ y(t)=y_0\thinspace e^{-t}. \end{cases} $$

Note that we have $x(t)+\frac{1}{3} y(t)^2=0$ for all $t$, so this solution remains for all time on this curve. Moreover, as $t\to+\infty$, this solution tends to the fixed point $(0,0)$. That is, we have found the stable manifold of the saddle.
Let us check that the change of coordinates

$$ (x,y)\mapsto (x+\frac{1}{3}y^2,y) $$


leads to the linear system. Writing $u=x+\frac{1}{3}y^2$ and $v=y$ we have

$$ \begin{cases} \dot{u}=\dot{x}+\frac{2}{3}y\dot{y}=x+\frac{1}{3}y^2=u \\ \dot{y}=\dot{y}=-y=-v. \end{cases} $$


So we get the linearized system. Similarly, one checks that the change of coordinates $(x,y)\mapsto (x-\frac{1}{3}y^2,y)$ transforms the linear system into the nonlinear one.

In general, the nonlinear terms almost always make huge changes in the system far from fixed points. We consider the following system to illustrate this point.

$$ \begin{cases} \dot{x}=\frac{1}{2} x-y -\frac{1}{2} (x^3+y^2x)\\ \dot{y}=x+\frac{1}{2}y -\frac{1}{2} (y^3+x^2 y). \end{cases} $$

The origin is the unique fixed point. The linearized system is

$$ \begin{pmatrix} \dot{x}\\ \dot{y} \end{pmatrix} = \begin{pmatrix} \frac{1}{2} & -1 \\ 1 & \frac{1}{2} \end{pmatrix} \begin{pmatrix} x\\ y \end{pmatrix}. $$

Using our above classification, we easily check that the origin is a spiral source since both the determinant and the trace of the matrix are positive. As the following digital experiment shows, there is no way to find a global change of coordinates that puts the system into a linear one, as in the previous example, since no linear system has this type of spiraling toward a circle. (We will come back to this point later on.) However, near the origin this is still possible.


We clearly observe that, inside the unit circle, the two systems are topologically equivalent, which is guaranteed, by Hartman-Grobman theorem, at least in a small disk centered at the origin. However, the two systems behave very differently: in the linear one, solutions spiral toward $\infty$, whereas in the nonlinear one, solutions spiral toward the unit circle.


In fact, we can analyse the nonlinear system if we pass to polar coordinates. Since $x=r\cos\theta$ and $y=r\sin\theta$ we obtain

$$ \begin{aligned} \dot{r}\cos\theta - r(\sin\theta)\ \dot\theta =\dot{x} & = \frac{1}{2}(r-r^3)\cos\theta-r\sin\theta \\ \dot{r}\sin\theta + r(\cos\theta)\ \dot\theta =\dot{y} & = \frac{1}{2}(r-r^3)\sin\theta+r\cos\theta. \end{aligned} $$

From this, we conclude, after equating the coefficients of $\cos\theta$ and
$\sin\theta$:

$$ \begin{aligned} \dot{r} &= r(1-r^2)/2\\ \dot{\theta} & =1. \end{aligned} $$

We thus have decoupled equations that we can easily understand geometrically. From the equation $\dot{\theta}=1$, we conclude that all nonzero solution rotate around the origin in the counterclockwise direction. From the first equation, we see that solutions do not spiral toward $\infty$. Indeed, we have $\dot{r}=0$ when $r=1$, so all solutions that start on the unit circle stay there forever and move periodically around the circle.
Since $\dot{r}>0$ when $0, we conclude that nonzero solutions inside the circle spiral away from the origin and toward the unit circle. Since $\dot{r}<0$ when $r>1$, solutions outside the circle toward it.