Parte II: Sistemas bidimensionales: flujos en el plano - Capítulo 4

Linealización: qué ocurre cerca de los puntos fijos

Todas las versiones de este artículo: [English] [Español] [français]

En este capítulo desarrollamos una idea natural: deberíamos ser capaces de aproximar el retrato de fase cerca de un punto fijo por el de un sistema lineal correspondiente. Veremos qué significa esto y cuándo es posible.

Sistema linealizado

Considere el sistema

$$ \begin{cases} \dot{x}=f(x,y)\\ \dot{y}=g(x,y) \end{cases} $$


y supongamos que $(\bar x,\bar y)$ es un punto fijo, es decir,

$$ f(\bar x,\bar y)=0,\thinspace g(\bar x,\bar y)=0. $$


Sea

$$ u=x-\bar x, \thinspace v=y-\bar y $$


denotan las componentes de una pequeña perturbación del punto fijo. Queremos ver si la perturbación se amplifica o se amortigua, por lo que derivamos las ecuaciones para $u$ y $v$. Hagámoslo para $u$:

$$ \begin{aligned} \dot{u} & = \dot{x}\\ & = f(\bar x+u,\bar y +v)\\ &= f(\bar x,\bar y) + u\ \frac{\partial f}{\partial x}(\bar x,\bar y)+ v\ \frac{\partial f}{\partial y}(\bar x,\bar y)+ O(u^2,v^2,uv)\\ &= u\ \frac{\partial f}{\partial x}(\bar x,\bar y)+ v\ \frac{\partial f}{\partial y}(\bar x,\bar y)+ O(u^2,v^2,uv). \end{aligned} $$


Comentemos estas identidades. La primera igualdad se mantiene porque $\bar{x}$ es una constante. La segunda es obvia. La tercera es la expansión de Taylor. La última se cumple porque $f(\bar{x},\bar{y})=0$. La notación abreviada $O(u^2,v^2,uv)$ denota los términos cuadráticos en $u$ y $v$. Puesto que tomamos $u$ y $v$ pequeños, estos términos cuadráticos son muy pequeños. Análogamente encontramos

$$ \dot{v}= u\ \frac{\partial g}{\partial x}(\bar x,\bar y)+ v\ \frac{\partial g}{\partial y}(\bar x,\bar y)+O(u^2,v^2,uv). $$


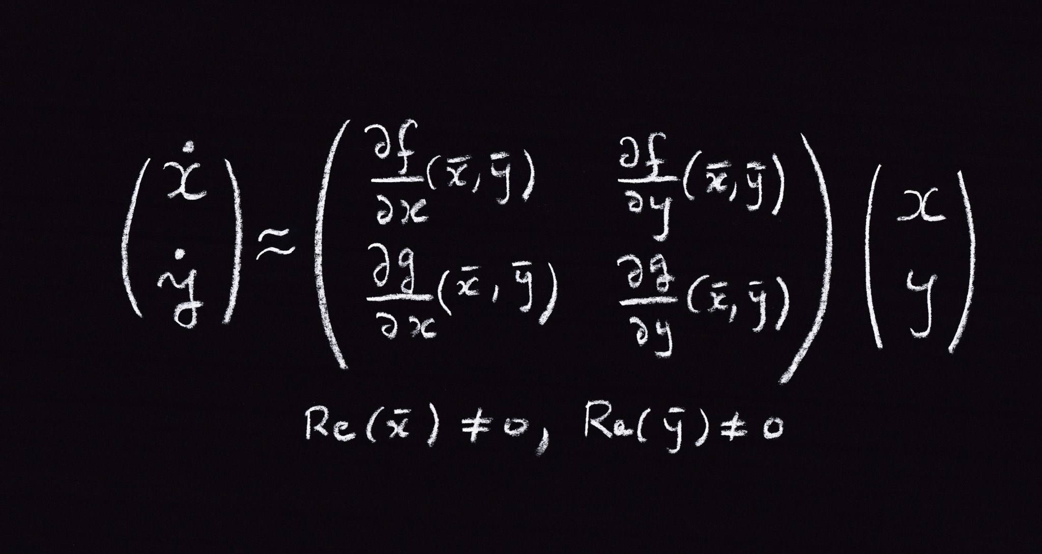
Por lo tanto la perturbación $(u,v)$ evoluciona según

$$ \begin{pmatrix} \dot{u}\\ \dot{v} \end{pmatrix} = \begin{pmatrix} \frac{\partial f}{\partial x}\scriptstyle{(\bar x,\bar y)} & \frac{\partial f}{\partial y}\scriptstyle{(\bar x,\bar y)}\\ \frac{\partial g}{\partial x}\scriptstyle{(\bar x,\bar y)} & \frac{\partial g}{\partial x}\scriptstyle{(\bar x,\bar y)} \end{pmatrix} \begin{pmatrix} u\\ v \end{pmatrix} + \thinspace\text{quadratic terms}. $$


The matrix

$$ A= \begin{pmatrix} \frac{\partial f}{\partial x}\scriptstyle{(\bar x,\bar y)} & \frac{\partial f}{\partial y}\scriptstyle{(\bar x,\bar y)}\\ \frac{\partial g}{\partial x}\scriptstyle{(\bar x,\bar y)} & \frac{\partial g}{\partial x}\scriptstyle{(\bar x,\bar y)} \end{pmatrix} $$


se llama la matriz jacobiana en el punto fijo $(\bar x,\bar y)$. Ahora podemos definir el sistema linealizado asociado a nuestro sistema original:

$$ \begin{pmatrix} \dot{u}\\ \dot{v} \end{pmatrix} = A \begin{pmatrix} u\\ v \end{pmatrix}. $$


Obsérvese que en las coordenadas $(u,v)$, el punto fijo $(\bar x,\bar y)$ se convierte en el origen. Ahora la pregunta obvia es:
¿Da el sistema linealizado una imagen cualitativamente correcta del retrato de fase cerca de $(\bar x,\bar y)$ ?
La respuesta es sí, siempre y cuando el origen del sistema linealizado sea una silla de montar, un sumidero o una fuente, es decir, no uno de los casos límite que vimos en la clasificación de los retratos de fase de los sistemas lineales. Daremos una formulación más precisa de esta afirmación, justo después de algunos ejemplos que muestran cuál puede ser el efecto de pequeños términos no lineales.

Cuando importan los pequeños términos no lineales

Considere el sistema

$$ \begin{cases} \dot{x} = -y +\epsilon x(x^2+y^2)\\ \dot{y}= x + \epsilon y(x^2+y^2) \end{cases} $$

where $\epsilon$ is a parameter. The following digital experiment shows that, when $\epsilon=0$, the origin is a center. But, as soon as $\epsilon\neq 0$, as tiny as it may be, this center is destroyed: when $\epsilon<0$, the origin is a spiral sink, and, when $\epsilon>0$, it is a spiral source.


Podemos entender fácilmente lo que ocurre. Veamos su versión linealizada sobre el punto fijo (único) $(0,0)$. Para obtenerla, podemos calcular directamente la matriz jacobiana, o nos damos cuenta de que podemos obtenerla simplemente omitiendo los términos no lineales en $x$ e $y$. Así, el sistema linealizado es

$$ \begin{cases} \dot{x} = -y \\ \dot{y}= x \end{cases} $$


por lo que la matriz jacobiana es

$$ A= \begin{pmatrix} 0 & -1 \\ 1 & 0 \end{pmatrix}. $$


Como $\text{tr}(A)=0$, $\text{det}(A)=1>0$, el origen es siempre un centro, según la linealización.

Para analizar el sistema verdadero, cambiemos las variables a coordenadas polares. Sea $x= r \cos\theta$ e $y=r\sin\theta$. Llegamos al sistema

$$ \begin{cases} \dot r= \epsilon r^3\\ \dot\theta= 1. \end{cases} $$

Para derivar una ecuación (…)

Para derivar una ecuación diferencial para $r$, observe que $x^2+y^2=r^2$, por lo que $x\dot{x}+y\dot{y}=r\dot{r}$. Sustituyendo por $\dot x$ y $\dot y$ se obtiene

$$ \begin{aligned} r\dot r & = x\big(-y+\epsilon x(x^2+y^2)\big)+y\big(x+\epsilon y(x^2+y^2)\big)\\ & = \epsilon (x^2+y^2)^2\\ &= \epsilon r^4. \end{aligned} $$


Por tanto $\dot r= \epsilon r^3$. Ahora usamos que $\tan \theta=y/x$, es decir, $\theta=\arctan (y/x)$. Por lo tanto

$$ \begin{aligned} \dot \theta & = \frac{\frac{\text{d}}{\text{d}t}\left(\frac{y}{x}\right)}{1+\left(\frac{y}{x}\right)^2}\\ & = \frac{\frac{x\dot{y}-y\dot{x}}{x^2}}{1+\left(\frac{y}{x}\right)^2}\\ &= \frac{x\dot y - y \dot x}{r^2}. \end{aligned} $$


Después de sustituir por $\dot x$ y $\dot y$ encontramos $\dot\theta =1$.

El sistema es fácil de analizar en esta forma porque los movimientos radial y angular son independientes. Todas las soluciones giran alrededor del origen con velocidad angular constante. Si $\epsilon<0$, entonces $r(t)$ va a $0$ monotónicamente a medida que $t\to+\infty$. Si $\epsilon=0$, entonces $r(t)=r_0$ para todo $t$, donde $r_0$ es el radio inicial. Por último, si $\epsilon>0$, entonces $r(t)\to+\infty$ monotónicamente a medida que $t\to+\infty$. Este ejemplo muestra por qué en general los centros son tan delicados: todas las soluciones tienen que volver perfectamente a su punto de partida al cabo de cierto tiempo. El más mínimo fallo convierte el centro en una espiral.

Veamos ahora un ejemplo cuyo sistema linealizado tiene un valor propio cero. Consideremos el sistema

$$ \begin{cases} \dot{x} = \epsilon x^2\\ \dot{y}= -y \end{cases} $$


donde $\epsilon\geq 0$. El único punto fijo es, por supuesto, el origen.


Como vemos, el comportamiento es completamente distinto si $\epsilon=0$ o si $\epsilon>0$, por pequeño que sea. De nuevo, podemos obtener el sistema linealizado simplemente eliminando los términos no lineales en $x$ e $y$, o, equivalentemente, fijando $\epsilon=0$. Así obtenemos el sistema lineal

$$ \begin{cases} \dot{x} = 0\\ \dot{y}= -y \end{cases} $$


lo que significa que

$$ A= \begin{pmatrix} 0 & 0 \\ 0 & -1 \end{pmatrix}. $$

Para este sistema lineal, todos los puntos en el eje $x$ son puntos fijos, y todas las demás soluciones se encuentran en líneas verticales $x=\text{constante}$. En conclusión, ¡el sistema linealizado da una imagen completamente errónea de las trayectorias alrededor del origen!

Teorema de Hartman-Grobman

Ahora respondemos a la pregunta anterior sobre cuándo el sistema linealizado captura fielmente el comportamiento del sistema original cerca de un punto fijo. Como muestran los ejemplos anteriores, debe existir una condición en la matriz jacobiana. La respuesta es clara y sencilla: la parte real de los valores propios de la matriz jacobiana debe ser distinta de cero, es decir, los valores propios deben estar fuera del eje imaginario.

Teorema de Hartman-Grobman. Supongamos que $(\bar x,\bar y)$ es un punto fijo de un sistema

$$ \begin{cases} \dot{x} = f(x,y)\\ \dot{y}= g(x,y). \end{cases} $$

Supongamos que la parte real de los valores propios de la matriz jacobiana

$$ A= \begin{pmatrix} \frac{\partial f}{\partial x}\scriptstyle{(\bar x,\bar y)} & \frac{\partial f}{\partial y}\scriptstyle{(\bar x,\bar y)}\\ \frac{\partial g}{\partial x}\scriptstyle{(\bar x,\bar y)} & \frac{\partial g}{\partial x}\scriptstyle{(\bar x,\bar y)} \end{pmatrix} $$

son distintos de cero. Entonces hay una pequeña región alrededor de $(\bar x,\bar y)$ en la que el retrato de fase para el sistema original es topológicamente equivalente al retrato de fase del sistema linealizado en una pequeña región alrededor de $(0,0)$.

Topológicamente equivalente significa que existe un homeomorfismo (es decir, un mapa continuo con un inverso continuo) que mapea una pequeña vecindad de $(\bar x,\bar y)$ a una pequeña vecindad de $(0,0)$, de tal manera que las trayectorias se mapean en trayectorias y se preserva el sentido del tiempo. Intuitivamente, dos retratos de fase son topológicamente equivalentes si uno es una versión distorsionada del otro. Se permite la deformación, pero no el desgarro. Así, por ejemplo, una trayectoria cerrada debe permanecer cerrada, o las trayectorias que conectan sillines no deben romperse, etc.

El teorema de Hartman-Grobman nos permite analizar el comportamiento local de un punto fijo cuando la matriz jacobiana asociada tiene valores propios con parte real distinta de cero. Si, por ejemplo, se encuentra que el origen es una fuente para el sistema linealizado, entonces el punto fijo del sistema original es también una fuente, y, cerca de él, las trayectorias tienen el mismo aspecto; por ejemplo, si tenemos un sumidero en espiral en el sistema linealizado, tenemos localmente un sumidero en espiral en el original. Y así sucesivamente para otros puntos fijos que tengan la propiedad deseada.

El teorema de Hartman-Grobman tiene un significado bastante intuitivo, pero dista mucho de ser fácil de demostrar. En el lado positivo, tiene la ventaja de ser cierto en dimensión más alta: si consideramos un sistema $\dot{\boldsymbol{x}}=\boldsymbol{f}(\boldsymbol{x})$ donde $\boldsymbol{x}in\mathbb{R}^n$ y $\boldsymbol{f}: \mathbb{R}^n\to\mathbb{R}^n$, entonces obtenemos la misma conclusión que cuando $n=2$, siempre que todos los valores propios del sistema linealizado estén fuera del eje imaginario. Por el lado negativo, el teorema afirma la existencia de un homeomorfismo, pero es muy raro que podamos escribirlo explícitamente. Pero, en la medida en que nos preocupan los aspectos cualitativos del comportamiento de las soluciones cerca de un punto fijo, esto no es un inconveniente grave.

Dos ejemplos ilustrativos

Considere el sistema

$$ \begin{cases} \dot{x}= x+y^2\\ \dot{y}= -y. \end{cases} $$


Existe un único punto fijo en el origen. El sistema linealizado se obtiene simplemente eliminando el término no lineal
$x^2$:

$$ \begin{cases} \dot{x}= x\\ \dot{y}= -y. \end{cases} $$


Este sistema puede resolverse inmediatamente, ya que tenemos ecuaciones desacopladas, o podemos comprobar directamente, basándonos en nuestro trabajo anterior, que el origen es una silla de montar: el eje $x$ es la variedad estable y el eje $y$ la inestable. Según el teorema de Hartman-Grobman, estos dos sistemas son localmente topológicamente equivalentes. El siguiente experimento digital ilustra cómo están relacionados.


Observamos que el eje $x$ también es el colector estable para el origen en el sistema original. Sin embargo, el eje $y$ ya no alberga una solución que tienda al origen. En efecto, el campo vectorial a lo largo del eje $y$ viene dado por $(y^2,-y)$, que no es tangente al eje. En otras palabras, el eje $y$ no es la variedad estable del origen en el sistema original, pero vemos que hay una curva a través del origen en la que las soluciones tienden a $(0,0)$ (nótese que es tangente al eje $y$). El retrato de fase original es, como predice el teorema de Hartman-Grobman, una deformación continua del retrato de fase de su versión linealizada. Además, ¡el experimento digital sugiere que podemos convertir el sistema original en su versión lineal en cualquier punto del plano de fase!

En general, es imposible convertir un sistema no lineal en uno lineal. Aquí es posible porque podemos encontrar un cambio explícito de coordenadas para pasar del sistema original a su versión linealizada:

$$ (x,y)\mapsto (x+\frac{1}{3}y^2,y). $$


Para pasar de la linealizada a la original utilizamos la transformación inversa

$$ (x,y)\mapsto (x-\frac{1}{3}y^2,y). $$

Utilizando técnicas estándar

Utilizando técnicas estándar de ecuaciones diferenciales, se puede encontrar la solución general de la ecuación diferencial no lineal:

$$ \begin{cases} x(t)= \left( x_0+\frac{1}{3}y_0^2\right) e^t - \frac{1}{3} y_0^2 e^{-2t}\\ y(t)=y_0 e^{-t}. \end{cases} $$


Si $y_0=0$, encontramos la solución $x(t)=x_0 e^t$, $y(t)=0$, igual que en el caso lineal. Consideremos ahora la curva $x+\frac{1}{3} y^2=0$ en $\mathbb{R}^2$. Supongamos que $(x_0,y_0)$ se encuentra en esta curva, y que $(x(t),y(t))$ sea la solución que satisface esta condición inicial. Dado que $x_0+\frac{1}{3} y_0^2=0$, esta solución se convierte en

$$ \begin{cases} x(t)= - \frac{1}{3} y_0^2 \thinspace e^{-2t}\\ y(t)=y_0\thinspace e^{-t}. \end{cases} $$

Obsérvese que tenemos $x(t)+\frac{1}{3} y(t)^2=0$ para todo $t$, por lo que esta solución permanece todo el tiempo en esta curva. Además, a medida que $t\to+\infty$, esta solución tiende al punto fijo $(0,0)$. Es decir, hemos encontrado el colector estable de la silla de montar.
Comprobemos que el cambio de coordenadas

$$ (x,y)\mapsto (x+\frac{1}{3}y^2,y) $$

conduce al sistema lineal. Escribiendo $u=x+\frac{1}{3}y^2$ y $v=y$ tenemos

$$ \begin{cases} \dot{u}=\dot{x}+\frac{2}{3}y\dot{y}=x+\frac{1}{3}y^2=u \\ \dot{y}=\dot{y}=-y=-v. \end{cases} $$

Así obtenemos el sistema linealizado. Del mismo modo, se comprueba que el cambio de coordenadas $(x,y)\mapsto (x-\frac{1}{3}y^2,y)$ transforma el sistema lineal en el no lineal.


En general, los términos no lineales casi siempre provocan grandes cambios en el sistema lejos de los puntos fijos. Consideramos el siguiente sistema para ilustrar este punto.

$$ \begin{cases} \dot{x}=\frac{1}{2} x-y -\frac{1}{2} (x^3+y^2x)\\ \dot{y}=x+\frac{1}{2}y -\frac{1}{2} (y^3+x^2 y). \end{cases} $$

El origen es el único punto fijo. El sistema linealizado es

$$ \begin{pmatrix} \dot{x}\\ \dot{y} \end{pmatrix} = \begin{pmatrix} \frac{1}{2} & -1 \\ 1 & \frac{1}{2} \end{pmatrix} \begin{pmatrix} x\\ y \end{pmatrix}. $$

Utilizando nuestra clasificación anterior, comprobamos fácilmente que el origen es una espiral, ya que tanto el determinante como la traza de la matriz son positivos. Como muestra el siguiente experimento digital, no hay forma de encontrar un cambio global de coordenadas que ponga el sistema en uno lineal, como en el ejemplo anterior, ya que ningún sistema lineal tiene este tipo de espiral hacia un círculo. (Volveremos sobre este punto más adelante.) Sin embargo, cerca del origen esto todavía es posible.


Observamos claramente que, dentro del círculo unitario, los dos sistemas son topológicamente equivalentes, lo que está garantizado, por el teorema de Hartman-Grobman, al menos en un pequeño disco centrado en el origen. Sin embargo, los dos sistemas se comportan de manera muy diferente: en el lineal, las soluciones se mueven en espiral hacia $\infty$, mientras que en el no lineal, las soluciones se mueven en espiral hacia el círculo unitario.

De hecho, podemos analizar (…)

De hecho, podemos analizar el sistema no lineal si pasamos a coordenadas polares. Como $x=r\cos\theta$ e $y=r\sin\theta$ obtenemos

$$ \begin{aligned} \dot{r}\cos\theta - r(\sin\theta)\ \dot\theta =\dot{x} & = \frac{1}{2}(r-r^3)\cos\theta-r\sin\theta \\ \dot{r}\sin\theta + r(\cos\theta)\ \dot\theta =\dot{y} & = \frac{1}{2}(r-r^3)\sin\theta+r\cos\theta. \end{aligned} $$

De aquí concluimos, después de igualar los coeficientes de $\cos\theta$ y $\sin\theta$:

$$ \begin{aligned} \dot{r} &= r(1-r^2)/2\\ \dot{\theta} & =1. \end{aligned} $$

Así pues, tenemos ecuaciones desacopladas que podemos comprender fácilmente desde el punto de vista geométrico. De la ecuación $\dot{\theta}=1$, concluimos que todas las soluciones distintas de cero giran alrededor del origen en el sentido contrario a las agujas del reloj. A partir de la primera ecuación, vemos que las soluciones no giran en espiral hacia $\infty$. De hecho, tenemos $\dot{r}=0$ cuando $r=1$, por lo que todas las soluciones que comienzan en el círculo unitario permanecen allí para siempre y se mueven periódicamente alrededor del círculo.
Como $\dot{r}>0$ cuando $0, concluimos que las soluciones no nulas dentro del círculo se alejan en espiral del origen y hacia el círculo unitario. Puesto que $\dot{r}<0$ cuando $r>1$, soluciones fuera del círculo hacia él.