Partie II : Systèmes bidimensionnels : écoulements dans le plan - Chapitre 4

Linéarisation : ce qui se passe près des points fixes

Toutes les versions de cet article : [English] [Español] [français]

Dans ce chapitre, nous développons une idée naturelle : on devrait pouvoir approximer le portrait de phase au voisinage d’un point fixe par celui d’un système linéaire correspondant. Nous verrons ce que cela signifie et quand cela est possible.

Système linéarisé

Considérons le système

$$ \begin{cases} \dot{x} = f(x,y)\\ \dot{y} = g(x,y) \end{cases} $$


et supposons que $(\bar x,\bar y)$ soit un point fixe, c’est-à-dire,

$$ f(\bar x,\bar y)=0, \thinspace g(\bar x,\bar y)=0. $$


Introduisons de nouvelles variables

$$ u=x-\bar x, \thinspace v=y-\bar y $$


qui vont être les composantes d’une petite perturbation du point fixe. Nous voulons voir si la perturbation est amplifiée ou amortie, et donc nous cherchons les équations d’évolution pour $u$ et $v$. Faisons-le pour $u$ :

$$ \begin{aligned} \dot{u} & = \dot{x}\\ & = f(\bar x+u,\bar y +v)\\ &= f(\bar x,\bar y) + u\ \frac{\partial f}{\partial x}(\bar x,\bar y)+ v\frac{\partial f}{\partial y}(\bar x,\bar y)+ O\big(u^2,v^2,uv\big)\\\ &= u\ \frac{\partial f}{\partial x}(\bar x,\bar y)+ v\ \frac{\partial f}{\partial y}(\bar x,\bar y)+ O\big(u^2,v^2,uv\big). \end{aligned} $$


Commentons ces équations. Les deux premières égalités sont évidentes. La troisième est le développement de Taylor d’une fonction de deux variables réelles et dernière suit de l’hypothèse $f(\bar{x},\bar{y})=0$. La notation abrégée $O(u^2,v^2,uv)$ désigne les termes quadratiques en $u$ et $v$. Comme nous prenons $u$ et $v$ petits, ces termes quadratiques sont très petits. De façon similaire, on trouve

$$ \dot{v}= u\ \frac{\partial g}{\partial x}(\bar x,\bar y)+ v\ \frac{\partial g}{\partial y}(\bar x,\bar y)+O\big(u^2,v^2,uv\big). $$


Par conséquent, la perturbation $(u,v)$ évolue conformément à l’équation

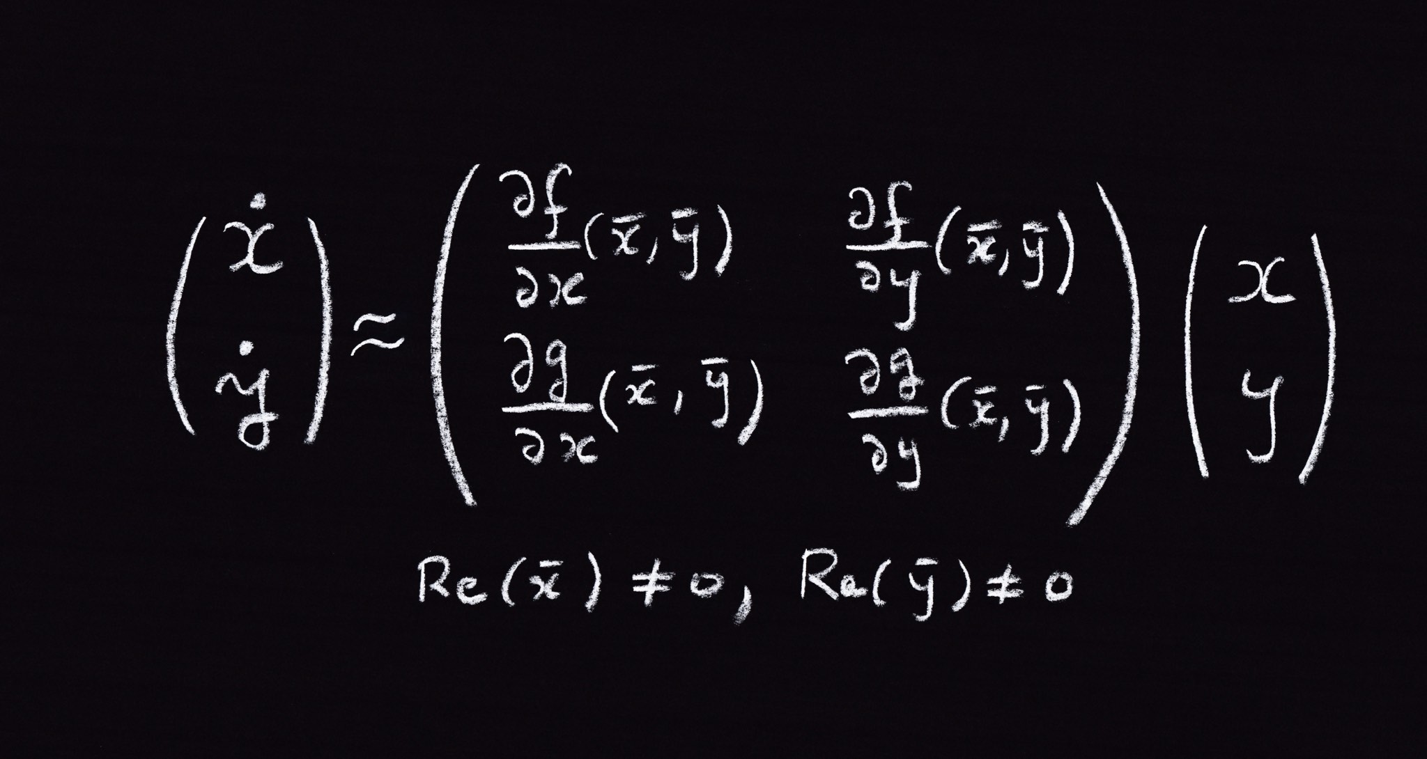
$$ \begin{pmatrix} \dot{u}\\- \dot{v} \end{pmatrix} = \begin{pmatrix} \frac{\partial f}{\partial x}\scriptstyle{(\bar x,\bar y)} & \frac{\partial f}{\partial y}\scriptstyle{(\bar x,\bar y)} \\ \frac{\partial g}{\partial x}\scriptstyle{(\bar x,\bar y)} & \frac{\partial g}{\partial x}\scriptstyle{(\bar x,\bar y)} \end{pmatrix} \begin{pmatrix} u\\- v \end{pmatrix} + \thinspace\text{termes quadratiques}. $$


La matrice

$$ A= \begin{pmatrix} \frac{\partial f}{\partial x}\scriptstyle{(\bar x,\bar y)} & \frac{\partial f}{\partial y}\scriptstyle{(\bar x,\bar y)} \\ \frac{\partial g}{\partial x}\scriptstyle{(\bar x,\bar y)} & \frac{\partial g}{\partial x}\scriptstyle{(\bar x,\bar y)} \end{pmatrix} $$


est appelée la matrice jacobienne au point fixe $(\bar x,\bar y)$. Nous pouvons maintenant définir le système linéarisé associé à notre système départ :

$$ \begin{pmatrix} \dot{u} \\ \dot{v} \end{pmatrix} = A \begin{pmatrix} u \\ v \end{pmatrix}. $$


Observez que dans les coordonnées $(u,v)$, le point fixe $(\bar x,\bar y)$ devient l’origine. Maintenant la question qui se pose est :
Le système linéarisé donne-t-il une image qualitativement correcte du portrait de phase au voisinage de $(\bar x,\bar y)$ ?
La réponse est oui, tant que l’origine du système linéarisé est soit un point-selle, soit un puits, soit une source, c’est-à-dire qu’elle n’est pas l’un des cas limites que nous avons vus dans la classification des portraits de phase des systèmes linéaires. Nous allons donner une formulation plus précise de cette affirmation, juste après quelques exemples qui montrent ce que peut être l’effet de petits termes non linéaires.

Quand les petits termes non linéaires ont un impact

Considérons le système

$$ \begin{cases} \dot{x} = -y +\epsilon x(x^2+y^2)\\ \dot{y}= x + \epsilon y(x^2+y^2) \end{cases} $$


$\epsilon$ est un paramètre. L’expérience numérique suivante montre que, lorsque $\epsilon=0$, l’origine est un centre. Mais, dès que $\epsilon\neq 0$, aussi infime soit-il, ce centre est détruit : lorsque $\epsilon<0$, l’origine est un puits spiralé, et, lorsque $\epsilon>0$, elle est une source spiralée.


Nous pouvons facilement comprendre ce qui se passe. Regardons la version linéarisée autour du point fixe (unique) $(0,0)$. Pour l’obtenir, nous pouvons soit calculer directement la matrice jacobienne, soit nous rendre compte que nous pouvons l’obtenir en omettant simplement les termes non linéaires en $x$ et $y$. Ainsi, le système linéarisé est

$$ \begin{cases} \dot{x} = -y \\ \dot{y}= x \end{cases} $$


donc la matrice jacobienne en $(0,0)$ est

$$ A= \begin{pmatrix} 0 & -1 \\ 1 & 0 \end{pmatrix}. $$


Puisque $\text{tr}(A)=0$, $\text{det}(A)=1>0$, l’origine est toujours un centre, selon la linéarisation.

Pour analyser le système réel, changeons de variables pour passer en coordonnées polaires en posant $x= r \cos\theta$ et $y=r\sin\theta$. Nous obtenons le système

$$ \begin{cases} \dot r= \epsilon r^3\\ \dot\theta= 1. \end{cases} $$


Pour obtenir l’équation d’évolution pour $r$, on utilise que $x^2+y^2=r^2$, donc $x\dot{x}+y\dot{y}=r\dot{r}$. En remplaçant $\dot x$ et $\dot y$ par leur valeur, on obtient

$$ \begin{aligned} r\dot r & = x\big(-y+\epsilon x(x^2+y^2)\big)+y\big(x+\epsilon y(x^2+y^2)\big)\\\ & = \epsilon (x^2+y^2)^2\\ &= \epsilon r^4. \end{aligned} $$


D’où $\dot r= \epsilon r^3$. On utilise maintenant que $\tan \theta=y/x$, c’est-à-dire que $\theta=\arctan (y/x)$. On obtient

$$ \begin{aligned} \dot \theta & = \frac{\frac{\text{d}}{\text{d}t}\left(\frac{y}{x}\right)}{1+\left(\frac{y}{x}\right)^2}\\ & = \frac{\frac{x\dot{y}-y\dot{x}}{x^2}}{1+\left(\frac{y}{x}\right)^2}\\ &= \frac{x\dot y - y \dot x}{r^2}. \end{aligned} $$


Après avoir remplacé $\dot x$ et $\dot y$ par leur valeur, on trouve $\dot\theta =1$.

Le système est facile à analyser sous cette forme car les mouvements radiaux et angulaires sont decouplés. Toutes les solutions tournent autour de l’origine avec une vitesse angulaire constante. Si $\epsilon<0$, alors $r(t)$ tend vers $0$ de façon monotone quand $t\to+\infty$. Si $\epsilon=0$, alors $r(t)=r_0$ pour tout $t$, où $r_0$ est le rayon initial. Enfin, si $\epsilon>0$, alors $r(t)\to+\infty$ de façon monotone quand $t\to+\infty$. Cet exemple montre pourquoi les centres sont en général si délicats : toutes les solutions doivent revenir parfaitement à leur point de départ après un certain temps. La moindre erreur pas transforme le centre en spirale.

Nous passons maintenant à un exemple dont le système linéarisé a une valeur propre nulle. Considérons le système

$$ \begin{cases} \dot{x} = \epsilon x^2\\ \dot{y}= -y \end{cases} $$


$\epsilon\geq 0$. Le seul point fixe est bien sûr l’origine.


Comme nous le voyons, le comportement est complètement différent si $\epsilon=0$ ou si $\epsilon>0$, aussi minuscule soit-il. Encore une fois, nous pouvons obtenir le système linéarisé en abandonnant simplement les termes non linéaires en $x$ et $y$, ou, de manière équivalente, en fixant $\epsilon=0$. Nous obtenons donc le système linéaire

$$ \begin{cases} \dot{x} = 0\\ \dot{y}= -y \end{cases} $$


ce qui signifie que

$$ A= \begin{pmatrix} 0 & 0 \\ 0 & -1 \end{pmatrix}. $$


Pour ce système linéaire, tous les points sur l’axe $x$ sont des points fixes, et toutes les autres solutions se trouvent sur les lignes verticales $x=\text{constante}$. En conclusion, le système linéarisé donne une image complètement fausse des trajectoires autour de l’origine !

Théorème de Hartman-Grobman

Nous répondons maintenant à la question ci-dessus, à savoir : quand le système linéarisé capture-t-il fidèlement le comportement du système original au voisinage d’un point fixe ? Comme le montrent les exemples précédents, il doit y avoir une condition sur la matrice jacobienne. La réponse s’avère être nette et simple : la partie réelle des valeurs propres de la matrice jacobienne doit être non nulle, c’est-à-dire que les valeurs propres se trouvent hors de l’axe imaginaire.

Théorème de Hartman-Grobman. Supposons que $(\bar x,\bar y)$ soit un point fixe d’un système.

$$ \begin{cases} \dot{x} = f(x,y)\\ \dot{y}= g(x,y). \end{cases} $$

Supposons que la partie réelle des valeurs propres de la matrice jacobienne

$$ A= \begin{pmatrix} \frac{\partial f}{\partial x}\scriptstyle{(\bar x,\bar y)} & \frac{\partial f}{\partial y}\scriptstyle{(\bar x,\bar y)} \\ \frac{\partial g}{\partial x}\scriptstyle{(\bar x,\bar y)} & \frac{\partial g}{\partial x}\scriptstyle{(\bar x,\bar y)} \end{pmatrix} $$

sont non nuls. Il existe alors une petite région autour de $(\bar x,\bar y)$ sur laquelle le portrait de phase pour le système original est topologiquement équivalent au portrait de phase du système linéarisé dans une petite région autour de $(0,0)$.

Topologiquement équivalent signifie qu’il existe un homéomorphisme (c’est-à-dire une application continue avec un inverse continu) qui fait correspondre un petit voisinage de $(\bar x,\bar y)$ à un petit voisinage de $(0,0)$, de telle sorte que les trajectoires correspondent aux trajectoires et que le sens du temps soit préservé. Intuitivement, deux portraits de phase sont topologiquement équivalents si l’un est une version déformée de l’autre.On peut « plier » mais pas « déchirer ». Ainsi, par exemple, une trajectoire fermée doit rester fermée, ou les trajectoires reliant des points-selles ne doivent pas être « cassées », etc.

Le théorème de Hartman-Grobman permet d’analyser le comportement local d’un point fixe lorsque la matrice jacobienne associée a des valeurs propres dont la partie réelle est non nulle. Si, par exemple, on trouve que l’origine est une source pour le système linéarisé, alors le point fixe du système original est aussi une source, et, près de lui, les trajectoires ont la même allure ; par exemple, si nous avons un puits en spirale dans le système linéarisé, nous avons aussi localement un puits en spirale dans le système original. Et ainsi de suite pour d’autres points fixes ayant la propriété recherchée.

Le théorème de Hartman-Grobman a une signification plutôt intuitive, mais il est loin d’être facile à démontrer. Il a l’avantage d’être vrai en dimension supérieure : si nous considérons un système $\dot{\boldsymbol{x}}=\boldsymbol{f}(\boldsymbol{x})$$\boldsymbol{x}\in\mathbb{R}^n$ et $\boldsymbol{f} : \mathbb{R}^n\to\mathbb{R}^n$, alors nous obtenons la même conclusion que lorsque $n=2$, à condition que toutes les valeurs propres du système linéarisé se trouvent hors de l’axe imaginaire. Mais ce théorème présente un inconvénient : il affirme l’existence d’un homéomorphisme, mais il est très rare que nous puissions l’écrire explicitement. Mais, dans la mesure où nous sommes concernés par les aspects qualitatifs du comportement des solutions au voisinage d’un point fixe, ce n’est pas un inconvénient sérieux.

Deux exemples illustratifs.

Considérons le système

$$ \begin{cases} \dot{x}= x+y^2\\ \dot{y}= -y. \end{cases} $$


Il y a un seul point fixe à l’origine. Le système linéarisé est obtenu simplement en abandonnant le terme non linéaire
$x^2$ :

$$ \begin{cases} \dot{x}= x\\ \dot{y}= -y. \end{cases} $$


Ce système peut être résolu immédiatement puisque nous avons des équations découplées, ou nous pouvons directement vérifier, sur la base de nos travaux précédents, que l’origine est un point-selle : l’axe des $x$ est la variété stable et l’axe des $y$ la variété instable. Selon le théorème de Hartman-Grobman, ces deux systèmes sont localement topologiquement équivalents. L’expérience numérique suivante illustre leur relation.


Nous observons que l’axe $x$ est également la variété stable pour l’origine dans le système original. Cependant, l’axe $y$ n’abrite plus de solution qui tend vers l’origine. En effet, le champ de vecteurs le long de l’axe des $y$ est donné par $(y^2,-y)$, qui n’est pas tangent à l’axe. En d’autres termes, l’axe $y$ n’est pas la variété stable de l’origine du système original, mais nous voyons qu’il existe une courbe passant par l’origine vers laquelle les solutions tendent vers $(0,0)$ (notez qu’elle est tangente à l’axe $y$). Le portrait de phase original est, comme le prédit le théorème de Hartman-Grobman, une déformation continue du portrait de phase de sa version linéarisée. L’expérience numérique suggère en outre que nous pouvons convertir le système original en sa version linéaire partout dans le plan de phase !

En général, il est impossible de convertir un système non linéaire en un système linéaire. Ici, c’est possible car nous pouvons trouver un changement explicite de coordonnées pour passer du système original à sa version linéarisée :

$$ (x,y)\mapsto \big(x+\frac{y^2}{3},y\big). $$


Pour passer de la version linéarisée à la version originale, nous utilisons la transformation inverse

$$ (x,y)\mapsto \big(x-\frac{y^2}{3},y\big). $$


En utilisant les techniques standard des équations différentielles, on peut trouver la solution générale de l’équation différentielle non linéaire :

$$ \begin{cases} x(t)= \left( x_0+\frac{1}{3}y_0^2\right) e^t - \frac{y_0^2}{3} e^{-2t}\\ y(t)=y_0 e^{-t}. \end{cases} $$

Si $y_0=0$, on trouve la solution $x(t)=x_0 e^t$, $y(t)=0$, tout comme dans le cas linéaire. Considérons maintenant la courbe
$x+\frac{1}{3} y^2=0$ dans $\mathbb{R}^2$. Supposons que $(x_0,y_0)$ se trouve sur cette courbe, et que $(x(t),y(t))$ soit la solution satisfaisant cette condition initiale.
est la solution satisfaisant cette condition initiale. Puisque $x_0+\frac{1}{3} y_0^2=0$, cette solution devient

$$ \begin{cases} x(t)= - \frac{1}{3} y_0^2 \thinspace e^{-2t}\\ y(t)=y_0\thinspace e^{-t}. \end{cases} $$


Notez que nous avons $x(t)+\frac{1}{3} y(t)^2=0$ pour tout $t$, donc cette solution reste pour tout le temps sur cette courbe. De plus, quand $t\to+\infty$, cette solution tend vers le point fixe $(0,0)$. Autrement dit, nous avons trouvé la variété stable du point-selle.
Vérifions que le changement de coordonnées

$$ (x,y)\mapsto \big(x+\frac{y^2}{3},y\big) $$


conduit au système linéaire. En écrivant $u=x+\frac{1}{3}y^2$ et $v=y$, nous obtenons

$$ \begin{cases} \dot{u}=\dot{x}+\frac{2}{3}y\dot{y}=x+\frac{1}{3}y^2=u \\ \dot{y}=\dot{y}=-y=-v. \end{cases} $$


On obtient donc le système linéarisé. De même, on vérifie que le changement de coordonnées $(x,y)\mapsto \big(x-\frac{1}{3}y^2,y\big)$ transforme le système linéaire en le système non linéaire.

En général, les termes non linéaires apportent presque toujours des changements majeurs dans le système quand on est loin des points fixes. Nous considérons le système suivant pour illustrer ce point.

$$ \begin{cases} \dot{x}=\frac{1}{2} x-y -\frac{1}{2} (x^3+y^2x)\\\\ \dot{y}=x+\frac{1}{2}y -\frac{1}{2} (y^3+x^2 y). \end{cases} $$


L’origine est l’unique point fixe. Le système linéarisé est

$$ \begin{pmatrix} \dot{x}\\ \dot{y} \end{pmatrix} = \begin{pmatrix} \frac{1}{2} & -1 \\ 1 & \frac{1}{2} \end{pmatrix} \begin{pmatrix} x\\ y \end{pmatrix}. $$


En utilisant notre classification ci-dessus, nous vérifions facilement que l’origine est une source spirale puisque le déterminant et la trace de la matrice sont tous deux positifs. Comme le montre l’expérience numérique suivante, il n’y a aucun moyen de trouver un changement global de coordonnées qui place le système dans un système linéaire, comme dans l’exemple précédent, car aucun système linéaire ne présente ce type de spirale vers un cercle. (Nous reviendrons sur ce point plus tard.) Cependant, près de l’origine, cela est encore possible.


Nous observons clairement que, à l’intérieur du cercle unité, les deux systèmes sont topologiquement équivalents, ce qui est garanti, par le théorème de Hartman-Grobman, au moins dans un petit disque centré à l’origine. Cependant, les deux systèmes ont un comportement très différent : dans le linéaire, les solutions spiralent vers $\infty$, alors que dans le non linéaire, les solutions spiralent vers le cercle unité.


En fait, nous pouvons analyser le système non linéaire si nous passons en coordonnées polaires. Puisque $x=r\cos\theta$ et $y=r\sin\theta$ nous obtenons

$$ \begin{aligned} \dot{r}\cos\theta - r(\sin\theta)\,\dot\theta =\dot{x} & = \frac{1}{2}\big(r-r^3\big)\cos\theta-r\sin\theta \\ \dot{r}\sin\theta + r(\cos\theta)\,\dot\theta =\dot{y} & = \frac{1}{2}\big(r-r^3\big)\sin\theta+r\cos\theta. \end{aligned} $$


De ceci, nous concluons, après avoir mis en équation les coefficients de $\cos\theta$ et de
$\sin\theta$ :

$$ \begin{aligned} \dot{r} &= r\big(1-r^2\big)\,/\,2\\ \dot{\theta} & =1. \end{aligned} $$


Nous avons donc des équations découplées que nous pouvons facilement comprendre géométriquement. De l’équation $\dot{\theta}=1$, nous concluons que toutes les solutions non nulles tournent autour de l’origine dans le sens inverse des aiguilles d’une montre. D’après la première équation, nous voyons que les solutions ne tournent pas vers $\infty$. En effet, nous avons $\dot{r}=0$ lorsque $r=1$, donc toutes les solutions qui commencent sur le cercle unitaire y restent pour toujours et se déplacent périodiquement autour du cercle.
Puisque $\dot{r}>0$ lorsque $0, nous concluons que les solutions non nulles à l’intérieur du cercle s’éloignent de l’origine et se rapprochent du cercle unitaire. Puisque $\dot{r}<0$ quand $r>1$, les solutions à l’extérieur du cercle vers celui-ci.